El síndrome cardiorrenal (SCR) refleja una interacción bidireccional entre la insuficiencia cardíaca (IC) y la enfermedad renal crónica (ERC), con altos costes asistenciales asociados. Las hospitalizaciones por eventos cardiovasculares (CV), particularmente por IC descompensada, representan el coste mayoritario de la ERC. Las unidades cardiorrenales (UCR) surgen como una estrategia innovadora para abordar esta complejidad mediante un enfoque multidisciplinar. Este estudio analiza la efectividad y la eficiencia de las UCR.
Materiales y métodosEstudio observacional, longitudinal, ambispectivo y unicéntrico utilizando un diseño adaptado de series temporales interrumpidas. Se incluyeron pacientes con ERC avanzada (TFGe<30ml/min/1,73m2) e IC con fracción de eyección del ventrículo izquierdo (FEVI) reducida. Se analizaron datos clínicos, demográficos y asistenciales durante el año previo y el año posterior a la inclusión. El coste económico se obtuvo a partir del consumo de recursos sanitarios asociados a la actividad asistencial hospitalaria.
ResultadosEn 55 pacientes (edad media 73,9±8,6 años; 78% varones) se observó un descenso del 65% en visitas a urgencias (p=0,0001) y del 60,5% en hospitalizaciones (p=0,0015). Se evidenció un ahorro de costes cercano a 700.000€, una reducción promedio de casi 13.000€ por paciente/año. Hubo una mayor prescripción de fármacos pronósticos tras ser incluidos en la UCR, sin cambios en la concentración sérica de potasio (p=0,26) y sin objetivar empeoramiento de la función renal (TFGe pre vs post: 23,36±7,6mg/dl vs 22,44±8,5mg/dl; p=0,17). Se logró un impacto diferencial significativo en todos los resultados asistenciales en aquellos bajo tratamiento con cuádruple terapia.
ConclusionesLas UCR destacan como modelos efectivos y eficientes en la atención del SCR. Se necesitan estudios aleatorizados y controlados que validen estos hallazgos y optimicen las políticas sanitarias.
Cardiorenal syndrome (CRS) reflects a bidirectional interaction between heart failure (HF) and chronic kidney disease (CKD), with high associated healthcare costs. Hospitalizations due to cardiovascular (CV) events, particularly for decompensated HF, represent most CKD-related costs. Cardiorenal units (CRU) emerge as an innovative strategy to address this complexity through a multidisciplinary approach. This study analyzes the effectiveness and efficiency of CRUs.
Material and methodsObservational, longitudinal, ambispective, and single-center study using an adapted interrupted time-series design. Patients with advanced CKD (eGFR<30mL/min/1.73m2) and HF with reduced left ventricular ejection fraction (LVEF) were included. Clinical, demographic, and care-related data were analyzed during the year before and the year after enrolment. Economic costs were derived from healthcare resource consumption associated with hospital care activities.
ResultsIn 55 patients (mean age 73.9±8.6years; 78% male), a 65% reduction in emergency department visits (P=.0001) and a 60.5% reduction in hospitalizations (P=.0015) were observed. The economic analysis revealed cost savings of approximately €700,000, with an average reduction of almost €13,000 per patient/year. After inclusion in the CRU, there was an increased prescription of prognostic drugs, with no significant changes in serum potassium concentration (P=.26) and no evidence of renal function deterioration (pre-vs. post-eGFR: 23.36±7.6mg/dL vs. 22.44±8.5mg/dL; P=.17). A significant differential impact was observed in all healthcare outcomes, particularly among patients receiving quadruple therapy.
ConclusionCRUs emerge as effective and efficient models for the management of cardiorenal syndrome. Randomized controlled studies are needed to validate these findings and optimize healthcare policies.
El síndrome cardiorrenal (SCR) se ha definido como una interacción bidireccional compleja entre la enfermedad renal crónica (ERC) y la insuficiencia cardíaca (IC). Actualmente, el concepto de enfermedad cardiorrenal se ha ampliado para incluir no solo la interacción entre IC y ERC, sino también su estrecha relación con factores de riesgo metabólicos y comorbilidades como la anemia y la alteración óseo-mineral asociada a la ERC1, con importantes repercusiones clínicas y económicas que exceden las capacidades de los modelos tradicionales de atención sanitaria. Desde una perspectiva asistencial, más de la mitad de los pacientes con IC en situación de ERC avanzada requieren al menos un ingreso anual por IC descompensada, situación que se asocia a mayor utilización de recursos sanitarios (mayores tiempos de hospitalización, mortalidad y frecuencias de reingreso) en comparación con aquellos sin ERC2 o en estadios menos avanzados3. Desde una perspectiva económica, esta interacción incrementa considerablemente el coste promedio unitario del manejo de la IC en presencia de ERC2. Además, las hospitalizaciones por enfermedad cardiovascular (ECV), especialmente por IC, representan hasta el 77% de los costes acumulados asociados a la ERC4. Junto a los requerimientos de terapia renal sustitutiva (TRS), estas hospitalizaciones destacan como determinantes clave del gasto total5,6.
Recientemente, las Unidades Cardiorrenales (UCR) se han propuesto como un modelo asistencial diseñado para abordar la complejidad de la enfermedad cardiorrenal mediante un enfoque multidisciplinar con el objetivo de mejorar los resultados clínicos1,7,8. No obstante, la falta de estudios que evalúen el impacto económico de las UCR restringe la evidencia disponible sobre su efectividad y eficiencia en el sistema sanitario.
El objetivo principal fue evaluar el impacto de la atención multidisciplinar en una UCR sobre los resultados asistenciales en pacientes con enfermedad cardiorrenal y su asociación con una supuesta reducción del coste sanitario total mediante el descenso de los costes asistenciales directos. Como objetivos secundarios, se analizó la optimización del tratamiento médico dirigido por guías clínicas (GDMT, por sus siglas en inglés) para la IC y su influencia sobre los resultados asistenciales.
Materiales y métodosDiseñoSe realizó un estudio observacional longitudinal, ambispectivo y unicéntrico en la UCR del Hospital Universitario Virgen de las Nieves de Granada entre el 01/10/2021 y el 30/09/2023. En ausencia de un grupo control independiente, se utilizó un diseño adaptado de series temporales interrumpidas. Este diseño fue seleccionado por razones éticas, ya que retrasar el acceso a la UCR no era justificable. No se realizó un cálculo previo del tamaño muestral, ya que el estudio se diseñó como un análisis de práctica clínica real. Los criterios de derivación a la UCR en nuestro centro incluyen: 1)pacientes con IC con fracción de eyección del ventrículo izquierdo (FEVI) reducida (FEVI<40%) o ligeramente reducida (40-49%) y ERC avanzada (tasa de filtración glomerular estimada [TFGe] <30ml/min/1,73m2 utilizando la fórmula de estimación CKD-EPIcr); 2)pacientes con IC y congestión refractaria con TFGe <60ml/min/1,73m2, y 3)pacientes con enfermedad cardiorrenal en TRS con IC FEVI reducida que requieran optimización cardiológica para su inclusión en lista de espera de trasplante renal, cardíaco o combinado. Para homogeneizar la muestra, en este estudio se incluyeron pacientes que cumplían el primer criterio, debido a que representan pacientes con indicación clara de GDMT para IC con escasa representación en ensayos clínicos debido a su TFGe. Se excluyeron a aquellos bajo TRS al inicio del seguimiento. El tiempo de seguimiento en la UCR definido para cada paciente fue de 1año.
Se recogieron datos demográficos, clínicos, analíticos y terapéuticos en la visita inicial, a intervalos de 3meses y al año. La triple terapia se definió como el tratamiento con betabloqueantes (BB), inhibidores del sistema renina-angiotensina-aldosterona (ISRAA) o inhibidores del receptor de angiotensina-neprilisina (ARNI) y antagonistas de los receptores de mineralocorticoides (ARM) de forma concomitante en línea con las recomendaciones de las Guías ESC 20169 y 202110. La cuádruple terapia, según la Guía ESC 202110, consistía en la triple terapia junto con el uso de inhibidores del cotransportador sodio-glucosa tipo2 (ISGLT2). Los eventos clínicos de interés incluyeron la mortalidad por todas las causas durante el seguimiento, así como las visitas al servicio de urgencias y las hospitalizaciones, ambas por causa CV. Se contempló un seguimiento prospectivo de 12meses desde la inclusión en la UCR, y para el periodo control se recopilaron de forma retrospectiva los datos asistenciales correspondientes a los 12meses previos. Se definió causa CV como IC descompensada, enfermedad coronaria, enfermedad cerebrovascular, arritmias, enfermedad vascular periférica y eventos renales secundarios a causa CV. Se incluyeron todos los eventos clínicos registrados en la cohorte, independientemente de su evolución durante el seguimiento. La progresión de la ERC se evaluó mediante la pendiente de progresión de la TFGe, siguiendo la definición del documento de consenso de la Sociedad Española de Nefrología11. Este estudio cumplió con los principios establecidos en la Declaración de Helsinki y fue aprobado por el comité de ética del centro participante (SICEIA-2024-000589). Se obtuvo el consentimiento informado de todos los pacientes incluidos.
Cálculo de los costesPor cada paciente, el coste económico total se estimó a partir del consumo de recursos sanitarios asociados a la actividad asistencial hospitalaria (visitas al servicio de urgencias y hospitalizaciones) en los dos periodos analizados. Tanto los costes de urgencias como los de hospitalización se obtuvieron del sistema de Contabilidad Analítica de Gestión (COAN) de nuestro centro. El coste promedio de una visita a urgencias en nuestro hospital durante el año 2023 fue de 193,4€. Para los costes de hospitalización, se ha tenido en cuenta el coste promedio diario por estancia hospitalaria, el cual varía en función de la Unidad de Gestión Clínica (UGC) responsable del ingreso. Estos costes incluyen tanto costes directos (atención médica, pruebas diagnósticas, tratamiento recibido y alojamiento en la habitación) como indirectos (infraestructura hospitalaria, costes de gestión administrativa y mantenimiento). Para el cálculo del coste total en cada uno de los periodos analizados, se multiplicó el número total de días de hospitalización a cargo de cada UGC por el coste promedio diario correspondiente y se sumó el coste total, calculado de forma análoga, para las visitas a urgencias.
Análisis estadísticoSe realizó un análisis estadístico descriptivo de las variables cuantitativas mediante medidas de tendencia central y dispersión, y frecuencias absolutas y relativas para las cualitativas. Para estudiar la evolución de datos analíticos se llevó a cabo un modelo de efectos mixtos lineales, donde el componente de efectos fijos fue el tiempo. Se realizaron comparaciones por pares de las medias marginales estimadas para la variable tiempo. La comparación de la proporción para las variables de tratamiento a lo largo del seguimiento se realizó mediante el test de Cochran. Por último, se llevó a cabo una comparación de las visitas a urgencias y hospitalizaciones mediante el test de Wilcoxon para muestras dependientes. Los cálculos se realizaron utilizando el programa estadístico STATA, versión 16.
ResultadosCaracterísticas generales y clínicasSe incluyeron un total de 55 pacientes (edad media 73,9±8,6años; 78% varones). Las características generales de la población de estudio en el momento de la inclusión en la UCR se describen en la tabla 1. El 56,4% presentan una edad ≥75años. La FEVI media basal fue de 40,1±9,3%, ≤40% en el 70,9% de los pacientes. La TFGe media basal fue de 22,3±7,61ml/min/1,73m2.
Análisis descriptivo de los datos demográficos, clínicos y de laboratorio basales en el momento de la inclusión en la UCR
| Variables | Resultados (n=55) |
|---|---|
| Edad (años), media (DE) | 73,96 (8,63) |
| Sexo masculino, n (%) | 43 (78,18) |
| Origen derivación a UCR | |
| CCEE Cardiología (Unidad de IC) | 39 (70,91) |
| CCEE Nefrología | 11 (20) |
| Hospitalización | 5 (9,09) |
| Hipertensión arterial, n (%) | 46 (83,64) |
| Diabetes mellitus, n (%) | 31 (56,36) |
| Fibrilación auricular, n (%) | 35 (63,64) |
| Obesidad (IMC > 30 kg/m2), n (%) | 18 (32,73) |
| Anemia (Hb <13 g/dl ♂; <12 g/dL ♀), n (%) | 30 (54,55) |
| Etiología IC, n (%) | |
| Enfermedad mitocondrial | 1 (1,82) |
| Etiología isquémica | 27 (49,09) |
| Etiología valvular | 8 (14,55) |
| Miocardiopatía dilatada familiar | 1 (1,82) |
| Miocardiopatía dilatada idiopática | 13 (23,64) |
| Miocardiopatía dilatada tóxica | 1 (1,82) |
| Miocardiopatía dilatada hipertensiva | 1 (1,82) |
| Miocardiopatía infiltrativa | 3 (5,45) |
| Etiología ERC, n (%) | |
| Enfermedad mitocondrial | 1 (1,82) |
| Etiología multifactorial | 24 (43,64) |
| Etiología obstructiva | 1 (1,82) |
| Nefroangioesclerosis | 5 (9,09) |
| Enfermedad renal diabética | 3 (5,45) |
| Síndrome cardiorrenal tipo I | 2 (3,64) |
| Síndrome cardiorrenal tipo II | 19 (34,55) |
| Estadificación por CAC, n (%) | |
| A1 (CAC <30 mg/g) | 24 (43,64) |
| A2 (CAC 30-300 mg/g) | 20 (36,36) |
| A3 (CAC > 300 mg/g) | 11 (20) |
CAC: cociente albúmina/creatinina; CCEE: consultas externas; ERC: enfermedad renal crónica; Hb: hemoglobina; IC: insuficiencia cardíaca; IMC: índice de masa corporal.
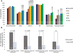
Los porcentajes de prescripción de ISRAA/ARNI, ARM, ISGLT2 y BB previa a la inclusión en la UCR eran del 75,7%, del 51,3%, del 59,5% y del 94,6%, respectivamente. La proporción de pacientes con triple y cuádruple terapia era del 45,95% y del 27,03%. Se registró un incremento significativo en la prescripción de ARM e ISGLT2 desde el 9.° (p=0,025) y el 3er mes (p=0,028), respectivamente. En consecuencia, observamos un aumento significativo en el número de pacientes recibiendo tanto triple (+10,81%, p=0,049) como cuádruple terapia (+24,32%, p=0,001) (fig. 1A). Ningún paciente discontinuó el ARM por hiperpotasemia, con un aumento en la prescripción de quelantes de potasio. No se observaron cambios significativos desde el inicio hasta el primer año en la TFGe (coeficiente −1,4; IC95%: −3,5 a 0,64; p=0,17) ni en los valores de creatinina (coeficiente 0,1; IC95%: −0,07 a 0,28; p=0,24), suponiendo un enlentecimiento en la curva de progresión de la ERC. Tampoco hubo diferencias estadísticamente significativas en la concentración sérica de potasio entre los pacientes que recibieron triple o cuádruple terapia en diferentes momentos del estudio (tabla 2).
A)Porcentaje de pacientes con el tratamiento basado en la evidencia para la insuficiencia cardíaca con fracción de eyección reducida (IC-FEr) previamente a la inclusión en la UCR (pre-UCR) como en la visita inicial (0m), a intervalos de 3meses y al año. B)Comparación del número total de visitas a urgencias y hospitalizaciones por causa CV en el año previo a la UCR y durante el año de seguimiento desglosado según cuádruple terapia. Las diferencias estadísticas significativas se muestran con sus valores p correspondientes.
ARA2: antagonista del receptor de angiotensina 2; ARM: antagonista del receptor mineralocorticoideo; ARNI: inhibidor del receptor de angiotensina/neprilisina; BB: betabloqueante; cuádrupleT: cuádruple terapia; CV: cardiovascular; IECA: inhibidor de la enzima convertidora de angiotensina; ISGLT2: inhibidor del cotransportador sodio-glucosa tipo 2; ns: no significación estadística; p: valor p; UCR: unidad cardiorrenal.
Evolución de los datos de laboratorio y de la FEVI desde la visita inicial a intervalos de 3 meses hasta la visita anual. Se muestran los valores p correspondientes de la determinación anual con respecto a la basal tras la realización de un modelo de regresión lineal mixta de las variables creatinina, TFGe y K
| Datos de laboratorio | Basal | 3 m | 6 m | 9 m | 12 m | p |
|---|---|---|---|---|---|---|
| Creatinina (mg/dl), media (DE) | 2,66 (0,75) | 2,71 (0,84) | 2,56 (0,7) | 2,77 (0,82) | 2,78 (0,67) | 0,24 |
| TFGe (ml/min/1,73 m2), media (DE) | 23,36 (7,6) | 22,9 (8,04) | 24,65 (8,3) | 22,75 (8,9) | 22,44 (8,5) | 0,177 |
| K (mEq/l), media (DE) | 4,52 (0,65) | 4,45 (0,68) | 4,53 (0,51) | 4,51 (0,42) | 4,8 (0,63) | 0,264 |
| K ajustado por triple terapia | 0,39 | |||||
| K ajustado por cuádruple terapia | 0,45 | |||||
| FEVI (%), media (DE) | 40,1 (9,35) | 44,3 (10,6) | 43,9 (9,45) | |||
| Hemoglobina (g/dl), media (DE) | 12,4 (2,2) | 12,64 (2,2) | 13,19 (1,7) | 13,13 (2,1) | 12,94 (2,3) | |
| Ferritina (ng/ml), mediana (IQR) | 146,2 (274) | 215 (243) | 222 (220) | 210 (200) | 153,7 (172) | |
| IST (%), media (DE) | 23,9 (10,2) | 27,3 (14,6) | 27,5 (9,7) | 24,3 (10,4) | 27,7 (9,3) | |
| NT-proBNP (pg/ml), mediana (IQR) | 3.900 (7.799) | 4.238 (11.922) | 2.744 (8.425) | 3.940 (13.246) | 3.106 (5.220) | |
| Ca-125 (U/ml), mediana (IQR) | 16,4 (22,8) | 17,15 (18,15) | 19,5 (23,2) | 22,9 (16,3) | 22,85 (42,7) | |
| CT (mg/dl), media (DE) | 123,4 (38,87) | 124,23 (37,78) | 123 (44,33) | 120,84 (37,41) | 130,93 (45,97) | |
| LDL (mg/dl), media (DE) | 59,4 (33,06) | 59,4 (31,48) | 58,35 (33,64) | 55,7 (24,4) | 59,68 (21,88) |
Ca-125: antígeno de cáncer 125; CT: colesterol total; DE: desviación estándar; FEVI: fracción de eyección del ventrículo izquierdo; IST: índice de saturación de transferrina; IQR: rango intercuartílico; K: potasio; LDL: lipoproteína de baja densidad; NT-proBNP: péptido natriurético tipo B N-terminal; p: valor p; TFGe: tasa de filtración glomerular estimada.
Durante el año de seguimiento 9 pacientes fallecieron (7 por causa CV, 1 por causa oncológica y 1 por causa digestiva) y 3 iniciaron TRS: uno optó por HD, mientras que los otros dos comenzaron con DP, aunque uno requirió transferencia posterior a HD debido a complicaciones relacionadas con el catéter peritoneal. En todos los casos, el inicio de la TRS estuvo motivado por congestión refractaria.
Uso de recursos y costesEn términos asistenciales, se produjo un descenso del 65% en el número total de visitas a urgencias por causa CV (63 en el periodo anual previo a la inclusión en la UCR frente a 22 en el año de seguimiento; p=0,0001), del 60,5% en el número total de hospitalizaciones por causa CV (43 vs 17; p=0,0015) y del 33% en el número total de días de hospitalización (464 vs 311). El uso de cuádruple terapia se asoció con un descenso significativo tanto de las visitas a urgencias (35 vs 15; p=0,02) como de las hospitalizaciones (27 vs 9; p=0,011), efecto no observado en pacientes sin los cuatro fármacos prescritos concomitantemente, en los cuales solo se objetivó una reducción significativa de las visitas a urgencias (28 vs 7; p=0,001) (fig. 1B).
En materia económica, la comparación del coste total de la actividad asistencial hospitalaria, desglosada por el número total de días de estancia en ambos periodos analizados y por UGC, se muestra en la tabla 3, con una reducción del gasto hospitalario total de 699.647,40€. Esto supone un ahorro del 68,83% en el coste total anual de la asistencia hospitalaria (1.016.381,2€ en el año previo a la inclusión en la UCR frente a 316.733,8€ en el año de seguimiento). El coste promedio por paciente en asistencia a urgencias y estancias hospitalarias previo a la UCR fue de 18.479,66€, mientras que en el año posterior este dato descendió a 5.758,8€, lo que representa una reducción promedio de 12.720,86€ por paciente/año. Este descenso del gasto se atribuye preferentemente a la disminución de las hospitalizaciones, especialmente a las estancias en la unidad de cuidados intensivos, que constituye la UGC con mayor consumo de recursos económicos: 8.222,03€ por estancia.
Costes totales de la actividad asistencial hospitalaria desglosados por UGC y por el número total de días de estancia tanto en el periodo retrospectivo como en el prospectivo con su ahorro correspondiente. En el resto de UGC de nuestro centro no hubo estancias hospitalarias durante el periodo estudiado
| Coste por día estancia (€) | Núm. total días estancia (pre/post) | Coste total estancia (pre/post) (€) | Ahorro de costes (€) | |
|---|---|---|---|---|
| Unidad de Gestión Clínica (UGC) | ||||
| Cardiología | 1.122,66 | 268/189 | 300.872,9/212.182,74 | −88.690,16 |
| Cirugía cardiovascular | 2.105,49 | 20/0 | 42.109,8/0 | −42.109,8 |
| Cuidados intensivos | 8.222,03 | 71/5 | 583.764,13/41.110,15 | −542.654 |
| Enfermedades infecciosas | 1.130,49 | 10/0 | 11.304,9/0 | −11.304,9 |
| Medicina física y rehabilitación | 388,15 | 0/62 | 0/24.065,3 | +24.065,3 |
| Medicina interna | 613,65 | 84/53 | 51.546,6/32.523,45 | −19.023,15 |
| Nefrología | 1.827,31 | 6/0 | 10.963,86/0 | −10.963,86 |
| Neurocirugía | 1.298,66 | 0/2 | 0/2597,32 | +2.597,32 |
| Neurología | 726,93 | 5/0 | 3.634,65/0 | −3.634,65 |
| Urgencias hospitalarias | 193,4 | 63/22 | 12.184,2/4.254,8 | −7.929,4 |
| Total | 1.016.381,2/316.733,8 | −699.647,4 | ||
UCG: unidad de gestión clínica.
Fuente: Sistema de Contabilidad Analítica de Gestión (COAN) del Hospital Universitario Virgen de las Nieves, Granada, para el año 2023.
Nuestro estudio subraya la efectividad de una unidad multidisciplinar enfocada a la atención de pacientes con SCR. Esta estrategia redujo en más del 60% las visitas a urgencias y hospitalizaciones por causa CV, con un ahorro cercano al 70% en el coste sanitario total al reducir los costes directos derivado de la actividad asistencial. Estos resultados son similares a los encontrados en la literatura. Marques et al.12 demostraron que el seguimiento multidisciplinar en una UCR disminuye de forma significativa la frecuencia de hospitalizaciones, mientras que los estudios de Sicras Mainard et al.2 y Escobar et al.4 destacaron que las hospitalizaciones por causa CV representan el mayor componente del gasto económico total asociado a pacientes con ERC y ECV. Reconocemos que nuestro análisis no incluye los costes asociados al funcionamiento de la UCR (personal sanitario, visitas ambulatorias y utilización del hospital de día), ni los costes relacionados con la prescripción farmacológica ambulatoria. Aunque el objetivo principal fue evaluar el impacto del abordaje multidisciplinar en la asistencia hospitalaria, centrado en visitas a urgencias y hospitalizaciones por causa CV2,4, una valoración económica completa requiere considerar todos estos costes para ofrecer una visión global del modelo asistencial. La reducción de la asistencia hospitalaria sugiere un efecto positivo del abordaje multidisciplinar en la optimización de recursos sanitarios. En concreto, en nuestro trabajo se observó una reducción promedio de más de 12.000€ por paciente/año en recursos asociados a estancias hospitalarias y visitas a urgencias. A pesar de que según estimaciones la carga económica de la ERC podría representar el 5,56% del gasto sanitario público en España13, el gasto de nuestro país en todas las categorías de asistencia sanitaria es inferior a las medias de la Unión Europea14. Son necesarios estudios adicionales que incorporen un análisis integral de costes para confirmar estos hallazgos y favorecer la implementación de intervenciones coste-efectivas. Por otra parte, el registro CARDIOREN concluyó recientemente que solo el 32% de los pacientes con ERC avanzada reciben cuádruple terapia15. En este contexto, y coincidiendo con lo descrito por Marques et al.12, nuestros resultados sugieren que, mediante un abordaje multidisciplinar, es posible optimizar el GDMT incluso en pacientes con un deterioro grave de la TFGe. En nuestra cohorte, la tasa de prescripción de cuádruple terapia aumentó significativamente, observándose una mayor reducción de hospitalizaciones en el grupo de pacientes que recibió los cuatro fármacos en comparación con aquellos que no los recibieron concomitantemente. Estos hallazgos respaldan el papel de las UCR en el manejo terapéutico de la enfermedad cardiorrenal. Aunque el tratamiento de la congestión pudo influir en los resultados, recientes propuestas destacan el papel del bloqueo neurohormonal en la descongestión de pacientes con IC16. La ausencia de datos sobre el régimen diurético impide valorar su impacto relativo, lo que justifica futuros estudios que aclaren la contribución de cada estrategia. Por último, la mortalidad en nuestra cohorte fue del 16,4%, similar a la descrita por Marques et al.12 (17,1%), lo que refleja la elevada vulnerabilidad de los pacientes con enfermedad cardiorrenal.
LimitacionesSe trata de un estudio unicéntrico con un tamaño muestral reducido, lo que limita la extrapolación de los resultados. Además, no se realizó un cálculo previo del tamaño muestral y no se dispuso de un grupo control independiente, lo que representa una limitación relevante del diseño. Por otro lado, el análisis de costes no incluye los asociados al funcionamiento de la UCR, la prescripción farmacológica ambulatoria, el uso del hospital de día para medicación parenteral, ni otros costes indirectos incurridos por los pacientes (como pérdida de productividad o desplazamientos). Esta limitación puede haber influido en la estimación del impacto económico total. Por otra parte, se incluyeron todos los eventos clínicos registrados en la cohorte. Si bien esto garantiza una evaluación integral del impacto asistencial y económico, la inclusión de pacientes fallecidos podría haber contribuido a una sobreestimación del ahorro de costes. Por último, los datos del año previo a la inclusión en la UCR fueron recopilados retrospectivamente, decisión motivada por razones éticas.
ConclusiónLas UCR son un modelo asistencial efectivo y eficiente. No obstante, son necesarios estudios multicéntricos, aleatorizados y con análisis de coste-efectividad que comparen las UCR con los modelos convencionales.
Conflicto de interesesNinguno.
El presente trabajo se enmarca en la tesis doctoral del autor Eliecer Soriano Payá, dentro del Programa de Doctorado en Medicina Clínica y Salud Pública de la Universidad de Granada.








