No existen estudios prospectivos y controlados que demuestren la manera más segura y eficaz de suspender o reducir las dosis de inmunosupresores, y sólo algunos centros han publicado sus propios protocolos.
Existen razones de peso para suspender la inmunosupresión. La más importante es el aumento de incidencia de infecciones. Por el contrario, la rápida suspensión de la misma tampoco está libre de problemas, como son: la pérdida de la función renal residual y la aparición de signos de intolerancia, con posterior necesidad de nefrectomía, intervención de muy alto riesgo.
Las pautas más recomendadas para el manejo de la inmunosupresión son:
- Suspensión inmediata de los antimetabolitos y descenso lento de la prednisona (fuerza de recomendación C).
- En cuanto a los inhibidores de la calcineurina, se pueden suspender o, en caso de función residual relevante y necesaria y a título individual, mantener a dosis más bajas durante 3-6 meses, para luego suspender de forma lenta (fuerza de recomendación C).
No hemos encontrado datos que apoyen la prolongación de ningún tipo de inmunosupresión más allá de los seis meses.
There´s no controlled and prospective studies which show the safest and most effective way to reduce or suspend immunosuppression drugs dosage, and only few groups have published their own protocols. There are reasons to discontinue the immunosuppression therapy; the high incidence of infections is the most important. However, a fast withdrawal is not free of problems, like are residual renal function decline and graft intolerance signs, which could take to nephrectomy, a high risk intervention. Most recommended guidelines for immunosuppression use are: - Antimetabolites immediately cancellation and corticoesteroids slow drop (level C recommendation). - Calcineurin inhibitors could be discontinued but if residual renal function is still significant, it is recommended to maintain a low dosage over three to six months; then, withdrawal may be done slowly (level C recommendation). We have not found information supporting the immunosuppression use beyond six months.
INTRODUCCIÓN
El trasplante renal se considera como la mejor opción terapéutica para pacientes con insuficiencia renal crónica en estadio terminal. A pesar de los avances producidos en los últimos años, la supervivencia del injerto a largo plazo no ha mejorado de forma significativa, de manera que a los 10 años del trasplante se ha perdido un 50% de los injertos. Esto hace que cada vez sea mayor el número de pacientes que comienza diálisis tras el fallo del injerto. Además, las listas de espera cada vez tienen un mayor número de pacientes que ya han perdido uno o varios injertos.
Este grupo de pacientes, cada vez más numeroso, que vuelve a diálisis tras el fallo del injerto representa un grupo de alto riesgo, porque tiene mayor morbilidad y mortalidad en los primeros meses, de causa infecciosa y cardiovascular. A pesar de ello, la situación de estos pacientes ha recibido poca atención en la literatura y en los diversos foros donde se han tratado otros aspectos del paciente trasplantado.
En esta guía, hemos tratado los puntos que consideramos más relevantes para un mejor manejo de estos pacientes, tales como el momento de comenzar diálisis, el tipo de la misma, la realización o no de nefrectomía, y la inclusión de nuevo en la lista de espera. En este apartado tratamos cómo manejar de forma más segura la inmunosupresión en el paciente que se considera que ha perdido su injerto de forma definitiva.
ARGUMENTOS A FAVOR Y EN CONTRA DE MANTENER LA INMUNOSUPRESIÓN
La vuelta del paciente a diálisis tras el fallo del injerto plantea al clínico el problema de qué hacer con la inmunosupresión, tanto en el momento de su retirada como en la forma de hacerlo. No existen estudios prospectivos y controlados que demuestren la manera más segura y eficaz de suspender o reducir las dosis de los diversos inmunosupresores1. Algunos centros de trasplante tienen sus propios protocolos, mostrados en algunas publicaciones2,3.
Las razones más importantes para suspender la inmunosupresión se muestran en la tabla 1. Una de las más notables es el aumento de la incidencia de infecciones si se mantiene algún tipo de inmunosupresión. Así, en un estudio de pacientes de un solo centro, se demuestra que la incidencia de infecciones aumenta de 0,68 a 2,28 infecciones/paciente-año en el grupo que mantiene la inmunosupresión, con el agravante de que cinco de estas infecciones fueron mortales4. Es un hecho bien demostrado que las infecciones son la segunda causa de muerte en estos pacientes5. En el paciente con insuficiencia renal, tanto en programa de diálisis, por las alteraciones del sistema inmune de la uremia, como en el trasplante, por la medicación inmunosupresora, existe un aumento de la incidencia de infecciones. En un estudio retrospectivo multihospitalario dirigido por los mismos autores del trabajo anteriormente citado, en el que se compara la incidencia de infecciones de 177 pacientes que habían recibido 197 injertos (18 segundos injertos y 2 un tercer injerto) y mantienen dosis bajas de inmunosupresión, frente a 90 pacientes en los que se ha suspendido la misma, el riesgo de infección es mayor en el primer grupo (1,7 frente a 0,5 infecciones/paciente-año), odds ratio (OR) 3,4 e IC 95% 2,5-4,5. Además, en el grupo que mantiene algún tipo de inmunosupresión, existe una mayor mortalidad, OR 3,4, IC 95% 1,8-6,3, de causa infecciosa y cardiovascular.
En este estudio también se demuestra una mayor incidencia de otras complicaciones asociadas a la inmunosupresión, como son la diabetes y la hemorragia gastrointestinal6.
Un segundo efecto adverso de mantener la inmunosupresión es el peligro de mayor incidencia de efectos cardiovasculares, 14 frente a 6, OR 3 (1,1-8; p = 0,02), y por ende de la mortalidad, OR 4,9 (1,8-13,5; p = 0,001). Ambos efectos se demuestran en el estudio comentado de Smak Gregoor et al., por lo que estos autores son partidarios de suspender la inmunsupresión inmediatamente después de la pérdida del injerto. Otro argumento no despreciable en contra de mantener la inmunosupresión es la toxicidad asociada a la toma de esteroides, como diabetes, cataratas, osteoporosis, etc.7
Otro aspecto que no podemos apoyar en ninguna referencia bibliográfica, pero que es perfectamente comprensible, es el aumento de costes que representa mantener la inmunsupresión en un grupo de pacientes que, por otra parte, consume un porcentaje importante de recursos sanitarios.
Finalmente, entre los argumentos en contra de mantener la inmunosupresión, queremos resaltar la dificultad del manejo de algunos inmunosupresores en pacientes en diálisis, como se ha demostrado cuando se utilizan para tratamiento de la enfermedad de base, LED y vasculitis ANCA positivo. No existen guías para el manejo de estos fármacos y el riesgo de infección se eleva exponencialmente8. Con los inhibidores del la calcineurina, ciclosporina y tacrolimus, aunque no son metabolizados o excretados por el riñón, se ha mostrado neurotoxicidad, que podría empeorar las manifestaciones neurológicas de la uremia9.
Por todo lo expuesto, continuar con la inmunosupresión podría parecer innecesario, aumentanto la toxicidad y el riesgo de infección, sin obtener beneficios aparentes. Sin embargo, la retirada de la misma puede acarrear algunas complicaciones que justifican prolongar su uso (tabla 2). A continuación, comentaremos las más relevantes.
Aparición de rechazo y necesidad de realizar nefrectomía
Los signos de rechazo o intolerancia del injerto son: fiebre, hematuria, dolor y tumefacción en la zona del injerto. Pueden aparecer de forma más frecuente al suspender la inmunosupresión. Sin embargo, esto no siempre se evita manteniéndola. Así, en un artículo anteriormente citado6, la tasa de rechazo en el grupo con inmunosupresión es del 12, frente al 18% de pacientes que la suspenden. En cuanto a la necesidad de nefrectomía que esto conlleva, ya hemos hecho referencia a ello en el apartado correspondiente. Tan sólo recordar a modo de resumen que no es una intervención exenta de riesgos, complicaciones y mortalidad, que su necesidad de realización es variable entre los grupos, pero es más frecuente en la era de la ciclosporina (63 frente a 27%)10, y, finalmente, que algunos grupos preconizan la embolización, que es menos traumática para el paciente y se ha mostrado eficaz en un gran número de casos11.
Pérdida de la función renal residual
La función renal residual se pierde rápidamente tras la suspensión de la inmunosupresión, tanto en pacientes en hemodiálisis como en el caso de diálisis peritoneal. Se sabe que el mantenimiento de la misma es crítico para proporcionar una dosis de diálisis adecuada, sobre todo en pacientes en DP12,13. Probablemente, al menos desde el punto de vista teórico, el mayor beneficio de mantener la inmunosupresión sería conservar el mayor tiempo posible la función renal residual. En este sentido, el único trabajo de los revisados que se inclina claramente por mantener la inmunosupresión es en pacientes en diálisis peritoneal14. Las conclusiones de este estudio deben analizarse con cautela, ya que se basan en un modelo matemático cuya aplicación podría cuestionarse en la práctica clínica. Estos autores muestran una mayor supervivencia de los pacientes que siguen con inmunosupresión (5,8 frente a 5,3 años) y, por tanto, son partidarios de mantener algún tipo de la misma para tener una mayor función renal residual durante más tiempo. Aunque en este trabajo no se muestra una mayor incidencia de peritonitis, otras publicaciones sí han documentado un incremento de peritonitis en pacientes sometidos a algún tipo de inmunosupresión15. Es muy difícil definir un nivel de función renal residual suficiente que justifique el mantenimiento de la inmunosupresión. Quizás estuviera más justificado en los pacientes que vuelven a diálisis peritoneal. En contra de esta opinión, muy recientemente se ha manifestado el grupo de diálisis peritoneal de Levante, que son contrarios a mantener ningún tipo de inmunosupresión, sobre todo por la mayor incidencia de peritonitis, si bien en su estudio sólo la mantuvieron dos pacientes16.
Sensibilización de cara a futuros trasplantes
Es un hecho conocido que la realización de una nefrectomía puede incrementar el nivel de anticuerpos citotóxicos comparado con pacientes que continúan con el injerto17. La influencia del ritmo de suspensión de la inmunosupresión en el nivel de anticuerpos no se conoce bien. Una revisión de 44 pacientes, seis meses después del fallo del injerto y con rápido descenso de la inmunosupresión no incrementa el nivel de anticuerpos tras la nefrectomía18.
Desarrollo de insuficiencia suprarrenal secundaria
Algunos pacientes que suspenden los esteroides tras su vuelta a diálisis pueden desarrollar insuficiencia suprarrenal glucocorticoidea, que se manifiesta con fiebre, fatiga, debilidad, artralgias, pérdida de peso, sobrecarga de líquidos por pérdida de la capacidad de ultrafiltración, hipercalcemia moderada y eosinofilia19. El diagnóstico se realiza mediante el test de estimulación con ACTH. Por el contrario, cuando se hace una bajada de esteroides hasta suspenderlos, en pacientes con injerto funcionante el desarrollo de insuficiencia suprarrenal es poco frecuente, según nuestra experiencia personal y la de otros autores20.
Reactivación de enfermedad renal primitiva
Finalmente, como complicación posible de la suspensión rápida de inmunosupresores, se han descrito algunos casos de reactivación de una enfermedad de base. Herrero et al.21 han publicado la reactivación de una sarcoidosis que previamente no se había diagnosticado correctamente al suspender la inmunosupresión tras el fallo de un injerto.
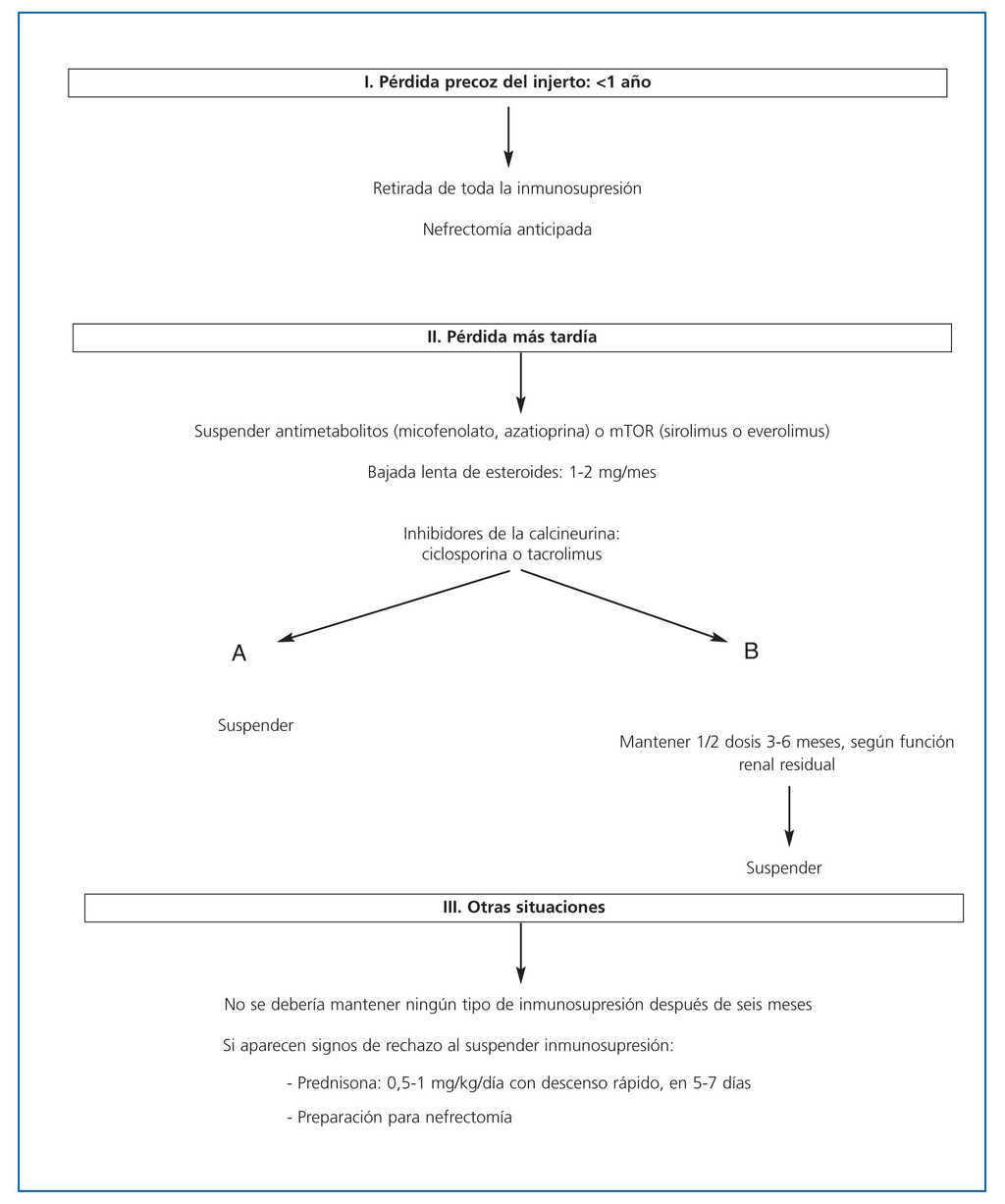
PAUTAS RECOMENDADAS
Puesto que no existen estudios controlados ni guías clínicas que determinen con un alto grado de evidencia cómo debe manejarse la inmunosupresion en esta situación de pérdida del injerto, después de haber revisado la literatura, recomendaríamos las siguientes pautas, según los protocolos de los centros que los han publicado22:
- Retirada inmediata de la inmunosupresión y nefrectomía anticipada en casos de pérdida precoz del injerto (tiempo inferior a un año).
- En caso de pérdida más tardía, proponemos dos pautas:
- Suspensión inmediata de ciclosporina, tacrolimus, micofenolato y rapamicina. Descender progresivamente la prednisona 1-2 mg/mes, de tal manera que a los seis meses esté retirado todo tipo de inmunosupresión.
- Si el paciente tiene función renal residual relevante y necesaria, y a título individual, la pauta podría ser: suspender antimetabolitos (micofenolato o azatioprina) inmediatamente, reducir el inhibidor de la calcineurina a una dosis diaria y reducir la prednisona a 5 mg/día. Mantener estos dos inmunosupresores e ir descendiendo lentamente en 3-6 meses.
- Ni en las publicaciones más recientes1,21 encontramos pautas de actuación en pacientes que pierden el injerto y no recibían esteroides. Creemos que estos casos, en el momento actual, son una minoría. Nuestra opinión, en todo caso, es que se reintroduzcan los esteroides sólo en caso de signos de intolerancia.
- Si se presentan signos de rechazo al suspender la inmunosupresión, pautar prednisona 0,3-1 mg/kg/día, con descenso rápido y preparación para la nefrectomía.
Con estas pautas, las necesidades de nefrectomía se sitúan en un 30% de los casos1.
Tabla 1. Razones para suspender la inmunosupresión
Tabla 2. Razones para mantener la inmunosupresión
Figura 1. Manejo de la inmunosupresión
 
										
				










