Objetivo: Establecer la utilidad de la procalcitonina (PCT) y otros parámetros clínicos y analíticos como indicadores de daño renal agudo y permanente en niños tras una primera infección del tracto urinario (ITU) febril. Material y métodos: Estudio retrospectivo multicéntrico. Estudio estadístico: descriptivo, curvas ROC y regresión logística múltiple. Resultados: 219 pacientes, con edades entre 1 semana y 14 años (68 % menores de 1 año). Las medias de PCT fueron significativamente mayores en pacientes con pielonefritis aguda respecto a aquellos con DMSA agudo normal (4,8 frente a 1,44; p = 0,0001), sin alcanzar significación para DMSA tardío (6,5 frente a 5,05; p = 0,6). El área bajo la curva ROC de PCT fue 0,64 (IC 95 % 0,55-0,72) para daño renal agudo y 0,62 (IC 95 % 0,44-0,80) para permanente; con puntos de corte óptimos de 0,85 y 1,17 ng/ml. El análisis multivariante para daño renal agudo solo encontró correlación con PCT (odds ratio [OR] 1,2, IC 95 % 1,06-1,4; p = 0,005) y horas de fiebre (OR para < 6 h 0,4, IC 95 % 0,2-1,02; p = 0,05). En los pacientes con cicatriz, la OR para PCT fue 1,0 (IC 95 % 0,9-1,1; p = 0,6). Conclusiones: La PCT y la duración de la fiebre fueron los únicos parámetros que se asociaron de forma significativa a daño parenquimatoso agudo. No se observó relación estadísticamente significativa entre la PCT y la cicatriz renal.
Objective: To establish the utility of procalcitonin (PCT) and other clinical and analytical parameters as markers of acute and permanent renal damage in children after a first febrile urinary tract infection (UTI). Methods: Retrospective multicentre study. Statistical study: descriptive, receiver operating characteristic (ROC) curves and multiple logistic regression. Results: 219 patients, aged between 1 week and 14 years (68% under 1 year). The mean PCT values were significantly higher in patients with acute pyelonephritis with respect to normal acute DMSA (4.8 vs 1.44; p=0.0001), without achieving that signification for late affected DMSA (6.5 vs 5.05; p=0.6). The area under the ROC curve for PCT was 0.64 (CI 95% 0.55-0.72) for acute renal damage, and 0.62 (CI 95% 0.44-0.80) for permanent damage, with optimum statistical cut-off values of 0.85 and 1.17ng/ml. Multivariate analysis for acute renal damage only found correlation with PCT (Odds Ratio [OR] 1.2 (CI 95% 1.06-1.4, p=0.005), and hours of fever (OR for less than 6 hours of fever 0.4 (CI 95% 0.2-1.02, p=0.05). In patients with renal scarring, PCT showed an OR 1.0 (CI 95% 0.9-1.1, p=0.6). Conclusions: PCT and the duration of fever were the only parameters statistically associated with early renal damage. PCT and renal scarring did not reach statistical significance.
INTRODUCCIÓN
La infección del tracto urinario (ITU) es una de las infecciones bacterianas más frecuentes en la edad pediátrica, con una incidencia global del 3-7 %1-5.
La inespecificidad de los síntomas en los pacientes de menor edad, la asociación frecuente con malformaciones del tracto urinario y la posibilidad de daño renal permanente conllevan en la práctica diaria la realización de múltiples pruebas complementarias.
En los protocolos y guías de práctica clínica, no existe consenso acerca de las exploraciones complementarias que deberían realizarse tras un primer episodio de ITU febril y qué pacientes son los que tienen mayor riesgo de desarrollar cicatriz renal4-8.
Actualmente, la gammagrafía renal con ácido dimercaptosuccínico-Tc99m (DMSA) es el patrón de oro para el diagnóstico de daño renal, agudo y permanente9,10. Sin embargo, esta prueba tiene un coste elevado, no está disponible en todos los centros y conlleva una irradiación para el paciente. Por ello, se intenta encontrar un marcador que limite la realización de pruebas invasivas solo a aquellos pacientes de mayor riesgo.
Se han propuesto distintas moléculas como posibles marcadores de daño renal. Varios estudios han mostrado su utilidad para interleucina (IL)-6 e IL-8 y osmolaridad urinaria, algo más discreta para factor de necrosis tumoral α, N acetil glucosamina e IL-16 y escasa o nula utilidad para otras proteínas tubulares11-13.
En los últimos años, el marcador que más se ha estudiado es la procalcitonina (PCT), debido a su rápida y específica respuesta en infecciones bacterianas graves14,15. Se trata de un precursor de la calcitonina sin actividad hormonal, con valores prácticamente indetectables en condiciones fisiológicas y durante infecciones virales, y que se eleva de forma rápida y proporcional en respuesta a la infección bacteriana y a su gravedad. La elevación se produce a partir de las 2 horas del inicio de la infección, alcanza su nivel máximo a las 12 horas y se normaliza en 2-3 días cuando esta ha remitido.
Existen diversos estudios acerca de la utilidad de la PCT para el diagnóstico de daño renal agudo y crónico, con resultados discrepantes16-27. El objetivo del nuestro fue valorar la utilidad de la PCT y de otros parámetros analíticos (leucocitos,
Proteína C reactiva ([PCR], etc.) y clínicos (edad, horas de fiebre, etc.) como indicadores de daño renal agudo y permanente en niños tras su primer episodio de ITU febril.
MATERIAL Y MÉTODOS
Se trata de un estudio retrospectivo multicéntrico realizado en cuatro hospitales de Valencia (España), recogiendo datos de pacientes pediátricos ingresados durante su primer episodio de ITU febril, durante los años 2006-2010.
Los criterios de inclusión fueron un diagnóstico de ITU mediante urocultivo positivo con número significativo de colonias según el método de recogida, fiebre mayor de 38º, cifra de leucocitos por encima del valor alto de normalidad según edad y/o niveles de PCR > 30 mg/l, tener al menos una determinación de PCT y haber realizado DMSA de forma precoz o tardía.
Se excluyeron aquellos pacientes con uropatía conocida (incluida ectasia prenatal) y los que habían presentado un episodio previo de ITU febril.
El estudio fue aprobado por el comité ético de los hospitales participantes.
Se recogieron datos clínicos de cada paciente (edad, sexo, horas de fiebre transcurridas hasta la realización de los análisis sanguíneos, fiebre máxima alcanzada y síntomas asociados), el tratamiento antibiótico empleado y las horas que tardó el paciente en quedar afebril tras el inicio de dicho tratamiento. Entre los datos analíticos: cifra de leucocitos y neutrófilos, valores de PCR y PCT, método de recogida de orina, germen hallado en el urocultivo, sensibilidad antibiótica y existencia o no de crecimiento del mismo germen en el hemocultivo.
El método de medición de la PCT durante los primeros años del estudio fue semi-cuantitativo con test inmunocromatográfico de BRAHMS (36 pacientes), y posteriormente con método de inmunoensayo de electroquimioluminiscencia BRAHMS Kriptor compact (183 pacientes). Para los análisis estadísticos solo se tuvieron en cuenta los valores de PCT cuantitativa.
En cuanto a las pruebas de imagen, se recogieron los resultados de la ecografía convencional y el DMSA en fase aguda y/o tardía.
El estudio gammagráfico se realizó tras 3 horas de la inyección de una dosis de Tc-DMSA ajustada a peso, obteniendo tres planos. Se consideró patológica la presencia de áreas focales o difusas de defectos de captación, sin evidencia de pérdida cortical.
En los casos en los que se realizó cistografía (si DMSA precoz patológica o dilatación de vía urinaria superior detectada en ecografía durante el ingreso), se recogió la existencia o no de reflujo vesicoureteral (RVU), el grado y la uni o bilateralidad.
El análisis estadístico incluyó el cálculo de sensibilidad (S), especificidad (E), valor predictivo positivo (VPP), valor predictivo negativo (VPN) y cálculo del área bajo la curva ROC. Los test de χ2 y t de Student se llevaron a cabo para comparar variables categóricas y cuantitativas, respectivamente. La regresión logística no condicional se utilizó para estimar la asociación entre las variables de interés.
RESULTADOS
Se incluyeron en el estudio un total de 219 pacientes, 131 niñas y 88 niños, con edades comprendidas entre 1 semana y 14 años, de los cuales 149 (68 %) eran menores de 1 año y 18 menores de 28 días (8,2 %)
El valor de la mediana de horas de evolución de la fiebre en el momento de realizar el análisis sanguíneo fue 24 [1-96] y la sintomatología más frecuentemente asociada a esta fue la digestiva. En cuanto a los resultados analíticos, la mediana de leucocitos fue 18 000/mm3 (3900-41 600), de PCR 74 mg/l (4-469) y de PCT 1,16 ng/ml (0,07-53,5) (tabla 1).
En la figura 1 se observa la tendencia al aumento de las medianas de PCT en los pacientes con DMSA normal y patológico tanto en fase aguda como tardía.
El método de recogida de la orina fue en pacientes continentes mediante chorro miccional. En los no continentes, se realizó en 60 de ellos (35 %) mediante bolsa adhesiva, obteniendo siempre dos muestras, y en el resto mediante técnica estéril (sondaje vesical o punción suprapúbica).
El germen más frecuentemente aislado fue Escherichia coli en el 92,7 % de los casos.
En 16 pacientes (7,3 %) se aislaron otros gérmenes: 4 klebsiella (25 %), 3 Proteus, 3 enterobacterias, 2 enterococos, 2 Citrobacter y 2 otros.
La pauta antibiótica elegida en la mayoría de los casos fue la gentamicina (65 %) intravenosa, con un tiempo medio
desaparición de la fiebre de 32 horas tras el inicio de tratamiento.
Se realizó ecografía convencional en todos los casos, que presentó alteraciones en 60 de ellos (27 %), y en algunos centros simultáneamente ecografía Doppler (72 realizadas, 22 patológicas).
El DMSA en fase aguda se llevó a cabo durante los primeros 7 días tras el ingreso en todos los pacientes (excepto en 2, en los que solo se realizó tardío); 142 presentaron alteraciones (64,8 %). En los casos con infección por germen diferente a E. coli, el porcentaje de afectación gammagráfica en fase aguda fue del 53 %.
En aquellos casos con DMSA precoz patológico, se indicó DMSA tardío transcurridos un mínimo de nueve meses tras la realización del previo. Se interpretó la existencia de cicatriz renal en este contexto como secundaria al daño agudo, aunque esta afectación puede no obedecer obligatoriamente a una causa-efecto de la lesión precoz. Se llevó a cabo en 99 pacientes, resultando patológicos 22 (22,8 %).
La cistografía fue realizada en 126 pacientes, de los cuales 30 (23,8 %) fueron diagnosticados de RVU.
En la tabla 2, se describen los datos clínicos y analíticos más importantes en niños con DMSA patológico en fase aguda (pielonefritis aguda) y en aquellos con DMSA normal. Las medias de PCT fueron significativamente mayores en pacientes con DMSA patológicos en fase aguda respecto a los no afectos (4,8 frente a 1,44; p = 0,0001), sin alcanzar dicha significación para DMSA en fase tardía (6,5 frente a 5,05; p = 0,6). De forma similar se comportaron las medias de PCR con respecto a DMSA precoz (112,8 frente a 70,24; p = 0,01) y tardío (163,39 frente a 115; p = 0,06).
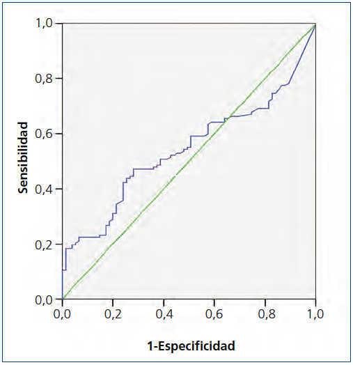
El área bajo la curva ROC de PCT para daño renal agudo fue de 0,64 (IC 95 % 0,55-0,72) y para cicatriz de 0,62 (IC 95 % 0,44-0,80), estableciendo como puntos de corte los valores de 0,85 y 1,17 ng/ml (figura 2 y figura 3). Los valores de S, E, VPP y VPN para daño renal agudo y crónico se presentan en la tabla 3 y tabla 4, respectivamente.
El análisis multivariante con respecto al daño renal agudo solo encontró asociación con PCT (oddsratio [OR] 1,2, IC 95 % 1,06-1,4; p = 0,005) y horas de fiebre (OR para < 6 h 0,4, IC 95 % 0,2-1,02; p = 0,05). Los pacientes menores de un año presentaron menor riesgo de afectación gammagráfica, aunque sin lograr significación estadística (OR 0,52, IC 95 % 0,2-1,1; p = 0,08).
En la valoración del daño renal permanente no se encontró asociación con ninguno de los factores estudiados. En concreto, para PCT la OR fue de 1,0 (IC 95 % 0,9-1,1, p = 0,6), y en los pacientes menores de un año de 0,4 (IC 95 % 0,1-1,4; p = 0,1).
DISCUSIÓN
El objetivo del presente estudio fue valorar la utilidad de la PCT y de otros parámetros analíticos (leucocitos, PCR, etc.) y clínicos (edad, horas de fiebre, etc.) como indicadores de daño renal agudo y permanente en niños tras su primer episodio de ITU febril. Nuestro estudio representa un grupo de tamaño considerable respecto a los publicados hasta el momento de pacientes con diagnóstico de primer episodio de ITU febril con alta posibilidad teórica de afectación gammagráfica aguda por las alteraciones analíticas presentadas al ingreso (cifra de leucocitos por encima del valor alto de normalidad según edad y/o niveles de PCR > 30 mg/l). Además, en todos los pacientes se realizó DMSA, prueba de oro para el diagnóstico de daño renal, tanto agudo como permanente, según las recomendaciones generales en el momento de su realización.
Aunque las características del subgrupo de neonatos pueden ser diferentes a las del resto de la población de estudio, se decidió incluir este grupo para mantener la homogeneidad de los centros participantes y asegurar, en la medida de lo posible, potencia estadística suficiente para establecer asociaciones estadísticamente significativas.
A pesar de que en la mayoría de los pacientes el germen causal fue E. coli, en 16 de ellos se hallaron otros gérmenes. Se trata de 8 varones y 7 mujeres, que suponen el 7 % del total de la muestra, de los cuales 9 (56 %) son menores de 1 año. En la mayoría de los pacientes la duración de la fiebre ha sido < 24 horas (94 %) y en 6 de ellos < 6 horas (37,5 %). Respecto a las pruebas complementarias, la ecografía fue normal en 12 (75 %) y la PCT negativa en 10 de ellos (62 %).
El porcentaje de DMSA patológico en fase aguda de nuestra serie fue del 64,8 %, muy semejante al del resto de los estudios publicados16,17,19,24,26,28. En contra de lo esperado6, en los casos de infección por germen diferente a E. coli, el porcentaje de DMSA patológicos en fase aguda fue menor (53 %), con desarrollo de cicatriz en 3 (19 %). Se analizaron las características clínicas y analíticas de este grupo de pacientes, sin encontrar ningún factor de riesgo o confusión que justifique este hallazgo.
La PCT ha demostrado su validez en el diagnóstico precoz de infecciones bacterianas invasivas14,15, superando a la PCR. Con respecto a las ITU, la PCT ha sido el marcador más estudiado y que mejores resultados ha ofrecido hasta el momento. Desde que Benador en 1998 hiciera su publicación16, numerosos estudios han intentado encontrar un punto de corte de PCT con el que poder relacionar riesgo tanto de daño parenquimatoso agudo como de cicatriz permanente.
La mayoría de las publicaciones, excepto dos17,18, han mostrado utilidad para PCT, aunque con valores de S y E muy dispares19-27. Aunque a menudo se trata de tamaños muestrales pequeños, destaca el metaanálisis de Leroy de 2013, que valora 18 estudios independientes, obteniendo así un total de 1011 pacientes26. En este caso, la PCT muestra buenos resultados para daño renal agudo y baja E para cicatriz renal.
Nuestro estudio, además de aportar un tamaño muestral considerablemente mayor al de la mayoría de las publicaciones previas, incluye un análisis multivariante para determinar de forma independiente la asociación de las variables de interés con la afectación renal.
En cuanto al daño renal agudo, encontramos medias de PCT significativamente mayores en los pacientes con DMSA patológico. Tras el cálculo del área bajo la curva, se encontraron como puntos de corte óptimos los valores de PCT de 0,85 y 1,17 ng/ml, que se asemejan a los propuestos en otros estudios (1 ng/ml en el de Sheu19 y el de Bressan24, y 0,85 ng/ml en el de Kotoula23). Sin embargo, nuestros valores de S, E, VPP y VPN son muy inferiores a los hallados en dichos estudios.
Con respecto a la cicatriz renal, el incremento de los valores de PCT no alcanzó significación estadística. El área bajo la curva ROC fue similar a la del daño agudo, y para los mismos valores de PCT como puntos de corte, encontramos valores aceptables de S, pero muy bajos de E y VPP. Nuestros datos con respecto a la utilidad de PCT para el diagnóstico de daño renal permanente no permitieron establecer las recomendaciones realizadas por otros autores16-27.
En lo que se refiere a otros marcadores estudiados, solo la PCR logró cierta utilidad para el diagnóstico de daño agudo, de forma similar al estudio de Kotoula23.
Los resultados del análisis multivariante demuestran que únicamente dos factores tuvieron relevancia: la PCT y < 6 horas de fiebre. Cada unidad que aumenta la PCT representa un 20 % mayor de riesgo de daño parenquimatoso agudo. Por contra, la duración de la fiebre < 6 horas confirió una protección del 60 %.
En contra de lo esperado, la edad menor de 1 año demostró ser un factor protector para la afectación parenquimatosa aguda y crónica, aunque sin alcanzar significación estadística.
Los resultados de nuestro estudio demuestran cierta utilidad de la PCT para la predicción de daño renal agudo en pacientes en su primer episodio de ITU febril. Aunque no podemos establecer valores de corte de PCT, en aquellos pacientes con cifras bajas de PCT, normalidad ecográfica y buena evolución inicial, se podría evitar la realización de DMSA en fase aguda.
Sin embargo, los datos obtenidos hasta el momento no permiten el uso de PCT como predictor de cicatriz renal en estos pacientes.
Nuestro trabajo cuenta con ciertas limitaciones. En primer lugar, se trata de un estudio retrospectivo. En segundo lugar, el método de recogida de orina en un porcentaje no desdeñable de casos fue mediante bolsa perineal y no con técnica estéril, como recomiendan las últimas guías de práctica clínica. Sin embargo, el hecho de disponer de dos urocultivos, con crecimiento del mismo germen y en número significativo, así como urianálisis con signos inflamatorios, minimiza la posibilidad de falsos positivos.
Por último, de los 142 pacientes con DMSA agudo afecto, solo se habían realizado 99 tardíos en el momento del estudio, ya que en algunos casos todavía no había transcurrido el tiempo suficiente para realizarlos (5 pacientes) o bien la afectación gammagráfica inicial había sido leve y la evolución clínica satisfactoria (16 pacientes). Además se produjo pérdida de seguimiento de algunos pacientes (22 casos, 10 % de la muestra). Debido a esta escasa muestra de pacientes con cicatriz renal, no podemos obtener datos estadísticos concluyentes.
CONCLUSIONES
La elevación de la PCT y la duración de la fiebre < 6 horas fueron los únicos parámetros que se asociaron de forma significativa a daño parenquimatoso agudo. No se observó relación estadísticamente significativa entre la PCT y la cicatriz renal.
Conflictos de interés
Los autores declaran que no tienen conflictos de interés potenciales relacionados con los contenidos de este artículo.
Tabla 3. Validez diagnóstica de la procalcitonina respecto al ácido dimercaptosuccínico-Tc99 en daño agudo
Tabla 4. Validez diagnóstica de la procalcitonina respecto al ácido dimercaptosuccínico-Tc99 en cicatriz renal
Figura 1. Valores de procalcitonina en pacientes con ácido dimercaptosuccínico normal y patológico en fase aguda (pielonefritis aguda) y tardía (cicatriz)
Tabla 1. Descripción de datos clínicos y analíticos
Tabla 2. Comparación de ácido dimercaptosuccínico normal y patológico en fase aguda
Figura 2. Curva ROC para procalcitonina en el daño renal agudo.
Figura 3. Curva ROC para procalcitonina en la cicatriz renal.












